Maths Expertes en Terminale

L'essentiel pour réussir

Arithmétique

A SAVOIR: le cours sur l'arithmétique

Exercice 8

Soit $n$ un entier naturel.

  1. On pose $x=n(n^4-1)$.
    Montrer que $x$ est divisible par 2.
    Montrer que $x$ est divisible par 10.
  2. On pose $x=11n^2(n^2+11)$.
    Montrer que $x$ est divisible par 6.
    Montrer que $x$ est divisible par 66.
Solution...
Corrigé

Clique ICI pour revoir le cours sur le théorème de Gauss.

  1. On pose $x=n(n^4-1)$.
    On a: soit $n≡0\,[2]$, soit $n≡1\,[2]$.
    Si $n≡0\,[2]$, alors: $n×(n^4-1)≡0×(n^4-1)\,[2]$, c'est à dire: $x≡0\,[2]$
    Si $n≡1\,[2]$, alors: $n^4-1≡1^4-1\,[2]$, et donc: $n×(n^4-1)≡n×0\,[2]$, c'est à dire: $x≡0\,[2]$
    Donc, dans tous les cas, $x$ est divisible par 2.

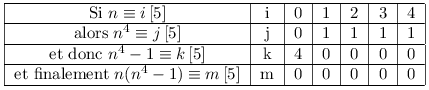
    Montrons que $x$ est divisible par 5.
    On a: soit $n≡0\,[5]$, soit $n≡1\,[5]$,...,soit $n≡4\,[5]$.
    On peut dresser le tableau suivant:
    fig5
    Par exemple, si $n≡3$ $[5]$, alors $n^4≡81$ $[45]$, soit: $n^4≡1$ $[5]$ ...etc...
    D'après le tableau de congruences, on a, dans tous les cas: $x≡0\,[5]$
    Donc $x$ est bien divisible par 5.

    Finalement, 2 et 5 divisent $x$.
    Or, comme $2×3+5×(-1)=1$, les entiers $2$ et $5$ sont premiers entre eux.
    Donc, d'après le corollaire du théorème de Gauss , $x$ est divisible par $2×5=10$.   c.q.f.d.

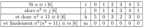
  2. On pose $x=11n^2(n^2+11)$.
    On a: soit $n≡0\,[6]$, soit $n≡1\,[6]$,...,soit $n≡5\,[6]$.
    On peut dresser le tableau suivant:
    fig6
    D'après le tableau de congruences, on a, dans tous les cas: $x≡0\,[6]$
    Donc $x$ est bien divisible par 6.

    Or, comme $x=11n^2(n^2+11)$, et que $n$ est entier, il est évident que $x$ est divisible par 11.

    Finalement, 6 et 11 divisent $x$.
    Or, comme $6×2+5×(-2)=1$, les entiers $6$ et $11$ sont premiers entre eux.
    Donc, d'après le corollaire du théorème de Gauss , $x$ est divisible par $6×11=66$.   c.q.f.d.
Réduire...

Copyright 2013 - maths-bac.com - Toute reproduction interdite - Tous droits réservés.