Graphes et matrices
A SAVOIR: le cours sur les graphes et les matrices
Exercice 8
Deux joueurs d'échecs A et B s'affrontent chaque jour.
La probabilité que A gagne la partie de rang 0 est de 0,7.
Si A gagne la partie de rang n, alors il conserve sa stratégie le jour suivant, et la probabilité qu'il gagne à nouveau n'est que de 0,4.
Si A perd la partie de rang n, alors il change de stratégie le jour suivant, et la probabilité qu'il gagne est égale à 0,9.
Pour tout naturel $n$, on définit $X_n$ par :
$X_n=A$ si A gagne la partie de rang n.
$X_n=B$ si B gagne la partie de rang n.
PARTIE 1
- La suite $(X_n)$ définit une chaîne de Markov. Pourquoi?
- Donner la distribution initiale du système et la matrice de la distribution initiale $π_0$.
- Donner un arbre pondéré associé aux 2 premières transitions, et déterminer la distribution après ces 2 transitions.
- Donner le graphe probabiliste et la matrice de transition qui sont associés à la chaîne de Markov (les valeurs étant prises dans l'ordre alphabétique).
- Donner la matrice de la distribution initiale $π_0$.
Retrouver la distribution après 2 transitions par un calcul matriciel. - Déterminer la distribution du système pour la partie de rang 10 (on arrondira les valeurs à 0,001 près), et interpréter le résultat.
- Déterminer la distribution invariante du système et interpréter le résultat.
PARTIE 2
Nous allons retrouver les résultats précédents sans utiliser de matrices, mais en manipulant uniquement des suites!
On pose $a_n=p(X_n=A)$
- Montrer que, pour tout naturel $n$, on a: $a_{n+1}=0,9-0,5a_n$
- Soit $(v_n)$ la suite auxiliaire définie, pour tout naturel $n$, par: $v_n=a_n-0,6$
Montrer que $(v_n)$ est géométrique de raison $-0,5$ - Déterminer $\lim↙{n→+∞} a_n$. Conclure.
Corrigé
PARTIE 1
- La suite $(X_n)$ définit une chaîne de Markov car, à chaque étape $n$ , les probabilités de transition d'un état à un autre ne dépendent pas de $n$.
-
La distribution initiale du système est la suivante:
$p(X_0=A)=0,7$ $p(X_0=B)=0,3$ - Voici un arbre pondéré associé aux 2 premières transitions.

Déterminons la distribution après ces 2 transitions.
$\{A, B\}$ constitue une partition de l'univers. D'après la formule des probabilités totales, on obtient:
$p(X_2=A)=0,7×0,4×0,4+0,7×0,6×0,9+0,3×0,9×0,4+0,3×0,1×0,9=0,625$
$p(X_2=B)=1-p(X_2=A)=0,375$
-
Voici le graphe probabiliste et la matrice de transition demandés.

$P=(\table 0.4,0.6;0.9,0.1)$ - La distribution initiale du système est la suivante:
$p(X_0=A)=0,7$ $p(X_0=B)=0,3$
Donc: $π_0=(\table 0.7,0.3)$
On sait que: $π_{2}=π_0×P^2$
Or: $P=(\table 0.4,0.6;0.9,0.1)$
Donc on obtient (à la calculatrice): $π_2=(\table 0.625,0.375)$
On retrouve le fait que:
$p(X_2=A)=0,625$ $p(X_2=B)=0,375$ - On obtient (à la calculatrice): $π_{10}=π_0×P^{10}=(\table a,b)$
où $a$ vaut environ 0,600 et $b$ vaut environ 0,400.
La probabilité que le joueur A gagne la partie de rang 10 vaut environ 0,600, et la probabilité que le joueur B gagne la partie de rang 10 vaut environ 0,400. - On a: $P=(\table 0.4,0.6;0.9,0.1)$
On constate tout d'abord que la matrice de transition $P$ ne comporte pas de zéro.
Donc la suite $(π_n)$ converge vers une matrice de distribution $π$, unique solution de l'équation $π=π×P$.
Résolvons l'équation $π=π×P$.
On pose: $π=(\table a, b)$ avec $a+b=1$ (un détail à ne pas oublier!)
Par conséquent: $π=(\table a, 1-a)$
Donc: $π=π×P$ $ ⇔$ $\{\table a=a×0.4+(1-a)×0.9;1-a=a×0.6+(1-a)×0.1$
Soit: $π=π×P$ $ ⇔$ $\{\table a=0.4a+0.9-0.9a;1-a=0.6a+0.1-0.1a$
Soit: $π=π×P$ $ ⇔$ $\{\table 1.5a=0.9;-1.5a=-0.9$
Soit: $π=π×P$ $ ⇔$ $a={0.9}/{1.5}=0.6$
La solution unique de l'équation $π=π×P$ est $π=(\table 0.6,0.4)$, qui est la distribution invariante du système.
La suite $(π_n)$ converge alors vers $π$, ce qui signifie que, lorsque le rang $n$ de la partie tend vers $+\∞$, la probabilité que le joueur A gagne tend vers $0,6$, la probabilité que le joueur B gagne tend vers $0,4$.
A la longue, le joueur A gagne 6 parties sur 10.
PARTIE 2
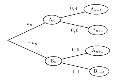
- Voici un arbre probabiliste correspondant à l'expérience.

$\{A_n;B_n\}$ constitue une partition de l'univers.
On sait que $p(A_{n+1})=p(A_n∩A_{n+1})+p(B_n∩A_{n+1})$ (par application de la formule des probabilités totales).
Soit: $p(A_{n+1})=p(A_n)×p_{A_n}(A_{n+1})+p(B_n)×p_{B_n}(A_{n+1})$
Soit: $p(A_{n+1})=a_n×0,4+(1-a_n)×0,9$.
Et par là: $a_{n+1}=0,9-0,5a_n$.
C'est l'égalité cherchée. - On a: $v_n=a_n-0,6$
Et par là: $v_{n+1}=a_{n+1}-0,6$
Or: $a_{n+1}=0,9-0,5a_n$.
Donc: $v_{n+1}==0,9-0,5a_n-0,6$
Soit: $v_{n+1}==0,3-0,5a_n$
Or, comme $v_n=a_n-0,6$, on a: $v_n+0,6=a_n$.
Et par là, on obtient: $v_{n+1}==0,3-0,5(v_n+0,6)$
Soit: $v_{n+1}==0,3-0,5v_n-0,3$
Soit: $v_{n+1}==-0,5v_n$
Et cette égalité est vraie pour tout naturel $n$.
Par conséquent, la suite $(v_n)$ est géométrique de raison $-0,5$ - Et par là: $v_n=v_0×(-0,5)^n$
Or: $v_0=a_0-0,6=0,7-0,6=0,1$
Donc: $v_n=0,1×(-0,5)^n$
Et comme $v_n+0,6=a_n$, on obtient:
$a_n=0,1×(-0,5)^n+0,6$
Comme la raison $-0,5$ appartient à l'intervalle ]-1;1[, on en déduit que:
$\lim↙{n→+∞} a_n=0,1×0+0,6=0,6$.
On retrouve le fait que, lorsque le rang $n$ de la partie tend vers $+\∞$, la probabilité que le joueur A gagne tend vers $0,6$